728x90
반응형
SMALL
모든 활성화 함수의 공통점은 비선형(Non-linear)이라는 점
활성화 함수가 선형이면 안되는 이유
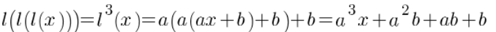
예를 들어, 선형인 활성화 함수 l(x) = ax + b 가 있다고 가정
이 함수를 사용하여 3개의 층을 쌓는다면 최종적인 활성화 함수는

이 때,

라고 하면,

로 여전히 같은 형태의 함수를 사용
즉, 층을 아무리 깊게 쌓아도 여러 층을 쌓는 이점을 살리지 못하게 됨
여러 층을 쌓을 때의 장점을 살리기 위해 비선형 함수 사용
728x90
반응형
LIST
'IT' 카테고리의 다른 글
| 신경망 학습(Training Neural Network) (0) | 2022.06.02 |
|---|---|
| 기울기 소실 (0) | 2022.06.01 |
| 가중치 행렬 (0) | 2022.05.30 |
| 인공신경망의 구조 (0) | 2022.05.29 |
| 논리 게이트와 퍼셉트론 (0) | 2022.05.28 |